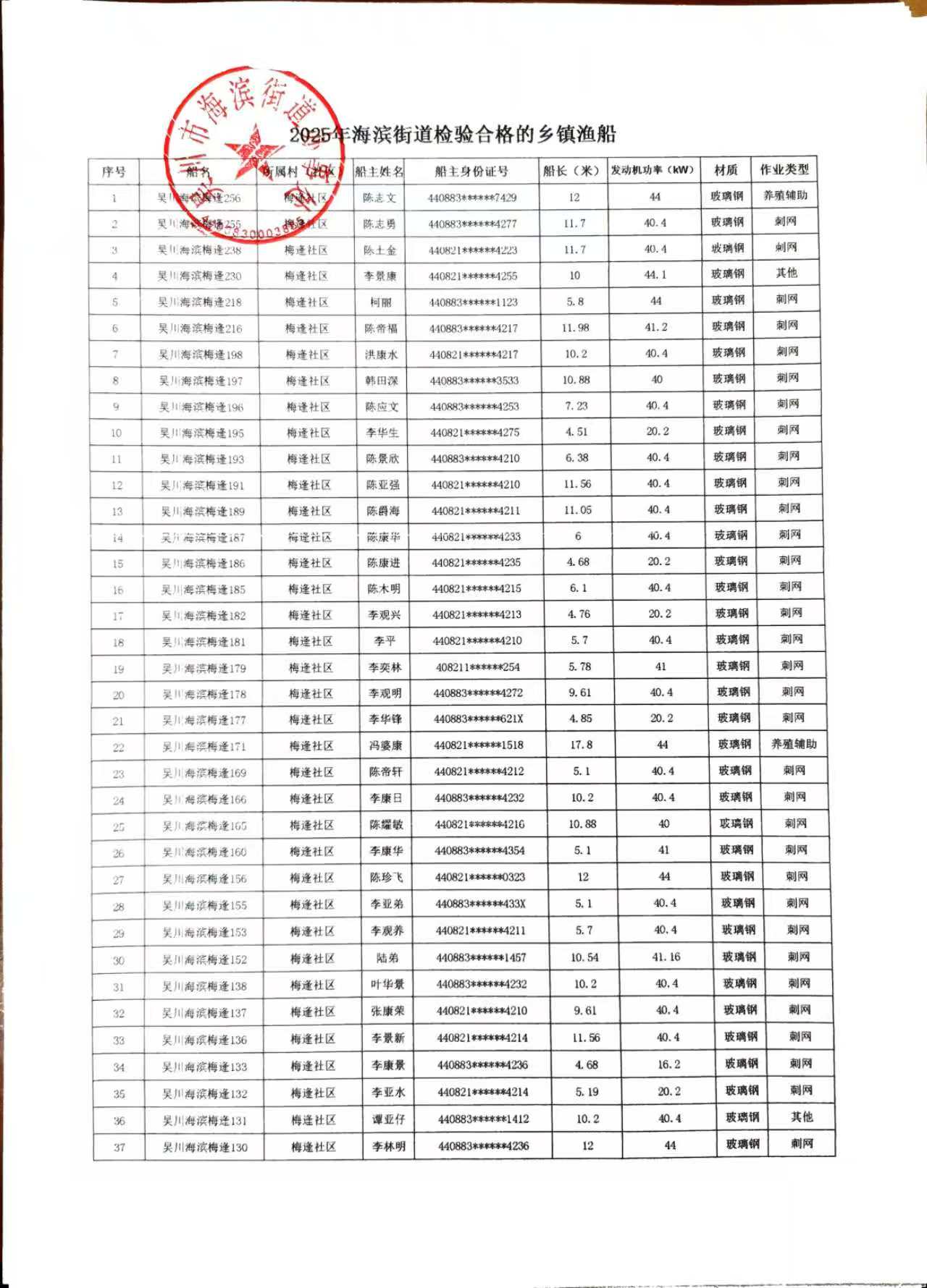
关于海滨街道乡镇纳管渔船检验结果的公示
时间:2026-01-04 17:17:53
来源:本网
【 打印 】
【大 中 小】
首页 | 网站地图 | 隐私保护 | 网站说明 | 联系我们 | 关于我们 |
粤ICP备2025423778号
粤公网安备44088302000105号
网站标识码:4408830001
主办:吴川市人民政府办公室






